温度、pH与通气量对草地早熟禾根际固氮菌生长曲线的影响(二)
2.2.4 典型生长曲线的测定
使用丹麦Biosense微生物生长动态监测系统进行测定。将各菌株的种子液(取一环接种于10 mL液体LB培养基中,在振荡培养箱中28℃、转速180 r·min-1下培养12 h)按2%的接种量,接种至装有200 mL LB液体培养基的三角瓶中,振荡混匀。使用无菌多通道移液器,将混匀后的菌液以每孔200 µL的体积转移至无菌的96孔透明细胞培养板中,并设置仅含LB培养基的孔作为空白对照。将培养板置于Biosense系统的恒温摇床模块中,设置温度为28℃,持续振荡。通过系统软件设置光学密度(OD600)的自动监测程序,监测间隔为10分钟,总时长为24小时。系统自动记录并绘制实时OD600值随时间变化的生长曲线。实验结束后,利用系统配套的分析软件,根据OD600值的变化自动判定各菌株的延迟期、对数期、稳定期及衰亡期的起始与持续时间。每个菌株设置3个重复孔。
2.2.5数据分析
所有数据用Excel整理,采用DPS(7.05)统计软件分析,用Tukey法进行多重比较。
三、 研究结果详析
3.1 温度条件对菌株生长的影响
从草地早熟禾根际所筛选的固氮菌株在10~45℃的温度范围内都能够正常生长(图1),可见本研究筛选得到的菌株对温度的适应范围较广,属宽温微生物。大部分菌株在20~30℃时OD600吸光值最高,其中菌株 N2、N14、N20在30℃时OD600吸光值最高;菌株N4、N17在20℃时OD600吸光值最高;菌株N5、N10及N16在25℃时OD600吸光值最高,即分别为对应这些菌株的最适生长温度。根据方差分析,所测8株菌株最适温度差异不显著(P > 0.05),即20~30℃菌株生长状况均良好。
图1 温度条件对固氮菌株生长的影响
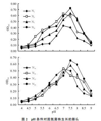
3.2 初始pH值对菌株生长的影响
固氮菌株可以在pH 4.0~9.0生长,但根据菌液的OD600吸光值,8株固氮菌株最适生长pH值为7.0~7.5(图2),且差异不显著。具体来说,菌株N2、N4、N14、N16最适pH值为7.0,菌株N5、N10、N17、N20最适pH值为7.5。据方差分析,8株固氮菌菌株最适初始pH值差异不显著,即所测8株固氮菌株在中性或偏碱性的条件下生长良好。
图2 初始pH对固氮菌株生长的影响
3.3 通气条件对菌株生长的影响
菌株 N4、 N5、 N10、 N16、 N17、 N20通气量为220 mL时生长最好,越高的氧分压对于这6株菌株的生长越有利;菌株 N2在通气量200 mL时最适宜其生长,在通气量为220 mL时生长受到一定的阻碍;而菌株N14则在通气量为100 mL时生长最好(图3)。据方差分析, N4、 N17 与 N20在通气条件下生长差异显著(P < 0.05),而与其他菌株相比差异不显著(P > 0.05)。
图3 通气条件对固氮菌株生长的影响
3.4 典型生长曲线
菌株N2、N4在2~16 h曲线明显上升到达对数生长期,菌体经过16~20 h的大量繁殖后逐渐进入稳定期,多数菌株生长曲线在20 h后明显下降,说明菌株开始进入衰亡期(图4);菌株 N5、N10延迟期为0~4 h后,4~14 h进入对数生长期,14~18 h为稳定期,18 h之后进入衰亡期;菌株 N14、 N16于2~12 h时进入对数期,其中菌株 N14的稳定期为12~14 h,14 h后进入衰亡期,菌株 N16稳定期为12~18 h,18 h后进入衰亡期;菌株 N17于 2~14 h进入对数期,在14~20 h稳定期后,20 h进入衰亡期;菌株 N20在2~10 h为对数生长期,稳定期为10~16 h,16 h以后为衰亡期。
图4 固氮菌株的典型生长曲线
四、 讨论
4.1 温度条件对菌株生长的影响
任何微生物仅能在一定的温度范围内生存,并在适宜温度下大量繁殖,过低的温度会使原生质膜处于凝固状态,营养物质运输受阻,质子梯度难以形成,最终微生物的生长也将停止;而伴随着温度升高,微生物细胞内的化学反应和酶促反应加快,生长速度随之提高;然而,当温度升高至某一界限时,微生物体内的蛋白质、核酸或其他细胞成分将会发生不可逆的变性作用,甚至导致微生物细胞死亡。即微生物与其他生物一样,生长温度有着一定的范围且存在着最适生长温度。汤春梅等在研究中测定了燕麦(Avena sativa)和小麦(Triticum aestivun)根际所分离得到的9株促生菌对温度条件的需求与适应能力,结果表明,9株促生菌适应范围很广,在5~45℃条件下即可正常生长,但不同菌株最适培养温度条件却不尽相同;黄菊芳等探讨了培养温度对深海热液喷口周围微生物生长繁殖的影响,得出33℃为菌株的最适生长温度。与前人的研究相比,本研究供试菌株在20~40℃的环境条件下即可正常完成新陈代谢以及繁殖发育,大部分的固氮菌株在25℃左右达到生长峰值,培养所需温度更接近常温,所以,如果在工业生产中,固氮菌发酵生产不需要设置特殊的温度来进行,从而可以降低一定的生产成本。
相关新闻推荐
2、钛合金表面改性的新突破:铜锶二元掺杂硅酸钙涂层的协同效应分析
