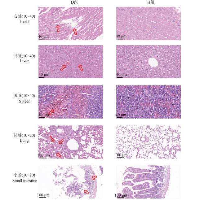
本课题组前期通过建立RV感染乳鼠模型并分析RV与细菌之间的关系,对乳鼠肠道内容物进行16S rRNA测序分析,结果显示:与未感染病毒组比较,病毒感染组 ...
欢迎来到BioSense网站!
本课题组前期通过建立RV感染乳鼠模型并分析RV与细菌之间的关系,对乳鼠肠道内容物进行16S rRNA测序分析,结果显示:与未感染病毒组比较,病毒感染组 ...
本研究开发的标准样品为生活饮用水常规微生物检测的质量控制及量值溯源提供了重要的工具,但其有效应用需充分考虑其基质代表性、稳定性以及方法适用性等限制。未 ...
菌落总数和肠球菌标准样品的均匀性数据在95%置信水平下,样品内和样品间F值分别为1.28和1.61,均小于F临界值(3.02),均P > 0.05,差 ...
按照GB/T 15000.3-2023《标准样品工作导则 第3部分:标准样品定值和均匀性与稳定性评估》的要求,对所制备的样品进行长期稳定性研究和短期稳 ...
目的 研制生活饮用水中菌落总数和肠球菌菌数定量分析标准样品。方法 将菌液与基质液充分混匀,分装,冷冻干燥,加塞压盖后制成标准样品。依据GB/T 150 ...
基于CHAID方法建立弧菌生长模型是可行的。而且经过对不同温度下建立的CHAID模型的数据比较,表明利用oCelloScope系统测得的数据变化率较大 ...
本研究尝试将CHAID方法引入到微生物建模领域,并比较与传统微生物生长动力学模型的差异。以大黄鱼为例,通过试验确认其特定腐败菌并获取试验数据,运用CH ...
本研究从污水样本中分离到一株噬菌体,命名为vB_SauM_YNP1,该噬菌体可以裂解多株从乳汁中分离的MRSA菌株,形成透亮的噬斑。在裂菌谱实验中,我 ...
现采用丹麦Biosense公司oCelloScope系统定量评估裂解酶活性。将不同浓度的裂解酶粗提液与过夜培养的宿主菌液混合加入检测板,系统自动监测并 ...
为探索应用于治疗奶牛乳腺炎的噬菌体及裂解酶,从上海某奶牛场污水样品中分离、纯化金黄色葡萄球菌的裂解性噬菌体,分析其生物学特性。采用双层琼脂平板法分离、 ...